F0 Trong Tiệt Trùng Là Gì? Ý Nghĩa Của Giá Trị F0 Trong Tiệt Trùng Ngành Thực Phẩm, Dược Phẩm
Giá trị F0 trong tiệt trùng đóng vai trò rất quan trọng trong việc xác định thời gian gây chết nhiệt cần thiết để loại bỏ tất cả các vi sinh vật có trong thực phẩm, dược phẩm. Trong bài viết này, hãy cùng Thiết bị Hiệp Phát tìm hiểu về giá trị F0 trong tiệt trùng cũng như ý nghĩa của nó trong ngành thực phẩm và dược phẩm.
F0 trong tiệt trùng là gì?
F0 trong tiệt trùng là một chỉ số quan trọng dùng để đánh giá hiệu quả của quá trình tiệt trùng bằng nhiệt. Chỉ số này thể hiện tổng thời gian tiệt trùng cần thiết để tiêu diệt vi sinh vật ở một nhiệt độ nhất định, có tính đến sự biến đổi nhiệt độ trong suốt quá trình.
F0 giúp xác định xem liệu một sản phẩm, thiết bị hoặc vật liệu có đạt đến mức tiệt trùng cần thiết hay không, đặc biệt trong các ngành như y tế, dược phẩm, thực phẩm và sản xuất thiết bị y tế.
Tầm quan trọng của F0 trong tiệt trùng
F0 đóng vai trò quan trọng trong việc đảm bảo rằng các sản phẩm và thiết bị y tế:✅ Được khử trùng đúng cách: loại bỏ vi khuẩn, virus và bào tử có hại.
✅ Đáp ứng các tiêu chuẩn an toàn: đặc biệt là những yêu cầu của các cơ quan quản lý như FDA, WHO, và ISO.
✅ Bảo vệ chất lượng sản phẩm: tránh việc tiệt trùng quá mức có thể làm hỏng dược phẩm hoặc thực phẩm.
Nếu quá trình tiệt trùng không đạt đủ F0 tối thiểu, có nguy cơ sản phẩm vẫn còn vi khuẩn gây bệnh, làm tăng rủi ro sức khỏe.
Tham khảo bài viết Tiết trùng là gì? Phân biệt Tiệt trùng và Thanh trùng của Thiết bị Hiệp Phát
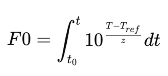
Công thức tính giá trị F0
Giá trị F0 được tính toán dựa trên phương trình:
Trong đó:
- T: Nhiệt độ thực tế tại thời điểm tính toán.
- Tref: Nhiệt độ tham chiếu (thường là 121,1°C đối với hơi nước bão hòa).
- z: Giá trị z (z-value) là hệ số phản ánh mức độ nhạy cảm của vi sinh vật với nhiệt độ, thường lấy giá trị 10°C (xem bảng bên dưới)
- t0 → t: Khoảng thời gian quá trình tiệt trùng diễn ra.
(D-value đề cập đến thời gian giảm số thập phân và được định nghĩa là thời gian cần thiết, ở một nhiệt độ nhất định để giảm số lượng vi sinh vật xuống còn 1/10 giá trị ban đầu của chúng. Điều này có nghĩa là 90% vi sinh vật đã bị tiêu diệt)
Nói một cách đơn giản, F0 thể hiện tổng mức độ tiệt trùng tích lũy dựa trên nhiệt độ và thời gian.
Ví dụ:
- Nếu quá trình tiệt trùng duy trì 121.1°C trong 15 phút, F0 sẽ là 15.
- Nếu nhiệt độ thấp hơn, thời gian cần thiết để đạt cùng giá trị F0 sẽ dài hơn.
Ứng dụng của giá trị F0 trong các ngành công nghiệp
Giá trị F0 được áp dụng trong nhiều lĩnh vực khác nhau:
🔹 F0 trong tiệt trùng Ngành dược phẩm
- Tiệt trùng thiết bị y tế như bơm tiêm, ống nghiệm, chai lọ đựng thuốc.
- Tiệt trùng dung dịch tiêm truyền, thuốc nhỏ mắt, thuốc uống.
🔹 F0 trong Ngành thực phẩm
- Quá trình thanh trùng sữa, nước trái cây để tiêu diệt vi khuẩn mà không làm mất giá trị dinh dưỡng.
- Tiệt trùng thực phẩm đóng hộp, túi nhôm để kéo dài thời gian bảo quản.
🔹 F0 trong Ngành y tế
- Tiệt trùng dụng cụ phẫu thuật, thiết bị y tế bằng hơi nước hoặc Hydrogen peroxide (H2O2).
- Đảm bảo phòng mổ, khu vực vô trùng đạt tiêu chuẩn an toàn.
Giá trị F0 Tuân thủ tiêu chuẩn
ISO 17665 – Sterilization of health care products – Moist heat
- ISO 17665 quy định các yêu cầu đối với quy trình tiệt trùng bằng hơi nước bão hòa trong ngành chăm sóc sức khỏe.
- Đây là tiêu chuẩn quan trọng để đảm bảo rằng quá trình tiệt trùng bằng hơi nước được thực hiện một cách an toàn và hiệu quả trong các cơ sở y tế và sản xuất thiết bị y tế.
EN 13060 – Small steam sterilizers
- Quy định các yêu cầu thiết kế, hiệu suất, kiểm tra và vận hành cho các máy tiệt trùng hơi nước cỡ nhỏ, thường được sử dụng trong các cơ sở y tế như phòng khám nha khoa, phòng khám đa khoa, hoặc phòng thí nghiệm nhỏ
ISO 15883 – Washer-disinfectors
- Liên quan đến thiết bị rửa và khử trùng (washer-disinfectors), thường được sử dụng để xử lý dụng cụ y tế trước khi tiệt trùng.
- Đề cập đến cả quá trình rửa, khử trùng nhiệt và khử trùng bằng hóa chất.
EN 285 – Large steam sterilizers
- Tiêu chuẩn dành cho nồi hấp tiệt trùng công suất lớn, thường được sử dụng trong bệnh viện và nhà máy sản xuất thiết bị y tế.
- Yêu cầu về thiết kế, hoạt động và thử nghiệm của các thiết bị này.
USP <1211> – Sterilization and Sterility Assurance of Compendial Articles
- Tiêu chuẩn từ United States Pharmacopeia (USP) về các phương pháp tiệt trùng và đảm bảo vô trùng đối với sản phẩm dược phẩm.
- Xác nhận quá trình tiệt trùng (Sterilization Process Validation) để đảm bảo rằng nó đạt được Mức Đảm bảo Vô trùng (SAL) mong muốn, thường là 10⁻⁶ (xác suất một đơn vị sản phẩm không vô trùng nhỏ hơn hoặc bằng 1 trên 1 triệu).
FDA 21 CFR Part 11 – US FDA Regulation for Electronic Registration Systems
- FDA 21 CFR Part 11 quy định tiêu chuẩn cho hồ sơ điện tử và chữ ký điện tử trong các ngành chịu sự quản lý của FDA, bao gồm tiệt trùng thiết bị y tế, dược phẩm. Nó đảm bảo dữ liệu tiệt trùng (như thông số chu trình, báo cáo xác nhận) được ghi lại, lưu trữ an toàn, đáng tin cậy và tương đương hồ sơ giấy.
- Tuân thủ Part 11 giúp đảm bảo dữ liệu tiệt trùng đáng tin cậy, tránh sai sót và đáp ứng kiểm tra của FDA.
EU Annex 11 – European Regulation for Electronic Registration Systems
- EU Annex 11 quy định việc sử dụng hệ thống máy tính trong các quy trình GMP, bao gồm tiệt trùng, để đảm bảo tính toàn vẹn dữ liệu và tuân thủ quy định.
- Yêu cầu xác nhận hệ thống, nhật ký kiểm tra, kiểm soát truy cập, và quản lý vòng đời cho các hệ thống điều khiển hoặc ghi lại dữ liệu tiệt trùng.
GAMP5 – Guidelines for good automated production procedures
- GAMP5 tập trung vào xác nhận hệ thống tự động hóa giúp đảm bảo các chu trình tiệt trùng đạt yêu cầu độ vô trùng.
- Hỗ trợ đáp ứng các yêu cầu của FDA, EMA, và các tiêu chuẩn quốc tế (21 CFR Part 11, EU Annex 11).
HACCP – Hazard analysis and critical control points
- HACCP là một hệ thống quản lý an toàn thực phẩm được sử dụng để xác định, đánh giá và kiểm soát các mối nguy (sinh học, hóa học, vật lý) trong các quá trình sản xuất thực phẩm, bao gồm tiệt trùng.
- Ghi lại thông số tiệt trùng, kết quả kiểm tra, và hành động khắc phục để kiểm tra bởi cơ quan quản lý (FDA, EFSA) hoặc khách hàng.
BRCGS – British Retail Consortium Global Standards
- Đảm bảo sản phẩm thực phẩm tiệt trùng an toàn, không chứa vi sinh vật gây hại (như Clostridium botulinum, Salmonella), và phù hợp với yêu cầu của nhà bán lẻ và người tiêu dùng.
- BRCGS Food Safety Issue 9 (2022), bao gồm các điều khoản liên quan đến tiệt trùng thông qua kiểm soát quy trình, HACCP, và hồ sơ.
Tham khảo thêm bài viết Làm thế nào để biết quá trình tiệt trùng nước yếncó hiệu quả hay không
Cách tối ưu hóa quá trình tiệt trùng dựa trên giá trị F0
💡 Điều chỉnh nhiệt độ và thời gian phù hợp để đạt giá trị F0 mong muốn mà không làm ảnh hưởng đến chất lượng sản phẩm.
💡 Sử dụng thiết bị tự ghi nhiệt độ SterilDisk Probe theo dõi nhiệt độ chính xác để đảm bảo kiểm soát tốt quá trình tiệt trùng.

💡 Tuân thủ tiêu chuẩn ngành
Kết luận về giá trị F0 trong tiệt trùng
Giá trị F0 là một chỉ số quan trọng giúp đảm bảo hiệu quả của quá trình tiệt trùng. Hiểu và áp dụng đúng giá trị F0 không chỉ giúp tiêu diệt vi khuẩn mà còn bảo vệ chất lượng sản phẩm. Đây là yếu tố thiết yếu trong các ngành dược phẩm, thực phẩm và y tế.
Với giải pháp của Tecnosoft, dù là phần mềm SPD (miễn phí) hay TS Manager (tuân thủ 21 CFR Part 11) sẽ giúp bạn tính toán F0 trong tiệt trùng một cách dễ dàng nhất.
Thiết bị Hiệp Phát hiện đang là nhà phân phối các dòng thiết bị tự ghi nhiệt độ đến từ hãng Tecnosoft – Ý. Bên cạnh đó, Hiệp phát cũng cung cấp dịch vụ và thực hiện hồ sơ thẩm định IQ (Installation Qualification), OQ (Operational Qualification), PQ (Performance Qualification) của phần mềm TS Manager giúp đáp ứng các yêu cầu tiêu chuẩn chất lượng.
Nếu quý khách hàng có nhu cầu tìm mua các dòng sản phẩm thiết bị kiểm soát nhiệt độ, độ ẩm của chúng tôi, đừng ngần ngại liên hệ với Hiệp Phát qua SĐT: 0937.012.813 – Mr. Giảng hoặc Email: sales4@thietbihiepphat.com để được tư vấn kịp thời.
Để lại thắc mắc, chúng tôi sẽ giải đáp ngay cho bạn
VN